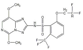
五氟磺草胺
發布時間:2013-07-02CAS: 219714-96-2
英文名稱:Penoxsulam
化學名稱:2-(2,2-二氟乙氧)-N-(5,8-二甲氧(1,2,4)三唑-(1,5-C)嘧啶-2-基
)-6-三氟甲基-苯磺胺;
2-(2,2-difluoroethoxy)-N-(5,8-dimethoxy[1,2,4]triazolo[1,5-c]pyrimidin-2-yl)
-6- (trifluoromethyl)be
其他名稱:DE-638、XDE-638、XR-638、稻杰
分子式:C12H8F3N5O3S
分子量:398.39
結構式:

理化性質:
原藥外觀為白色固體,20℃時比重為1.61,熔點223-224℃。原藥為淺褐色固體,相對密度1.61g/mL(20℃)。熔點212℃,蒸氣壓2.49×10-14Pa(20℃),9.55×10-14Pa(25℃)。溶解度(mg/L,19℃):水5.7(pH5)、410(pH7)、1460(pH9)。在pH5-9的水中穩定。
毒性:對大鼠急性經口LD50>5000mg/kg,對兔急性經皮LD50>5000mg/kg,對大鼠急性吸入LC50(4h)>3.5mg/L,對眼睛和皮膚有極輕微刺激性。
作用特點及殺草譜:五氟磺草胺為傳導型除草劑,經莖葉、幼芽及根系吸收,通過木質部和韌皮部傳導至分生組織,抑制植株生長,使生長點失綠,處理后7~14d頂芽變紅,壞死,2~4周植株死亡;本劑為強乙酰乳酸合成酶抑制劑,藥劑呈現較慢,需一定時間雜草才逐漸死亡。
五氟磺草胺適用于水稻的旱直播田、水直播田、秧田以及拋秧、插秧栽培田。用量為15~30g a.i./hm2。旱直播田于芽前或灌水后,水直播苗于苗后早期應用;插秧栽培則在插秧后5~7d施藥。施藥方式可采用噴霧或拌土處理。
五氟磺草胺為稻田用廣譜除草劑,可有效防除稗草(包括對敵稗、二氯喹啉酸及抗乙酰輔酶A羧化酶具抗性的稗草)、千金子以及一年生莎草科雜草,并對眾多闊葉雜草有效,如沼生異蕊花(Heteranthera limosa)、鯉腸(Eclipta prostrata)、田菁(Sesbania exaltata)、竹節花(Commelina diffusa)、鴨舌草(Monochoria vaginalis)等。持效期長達30~60天,一次用藥能基本控制全季雜草危害。同時,其亦可防除稻田中抗芐嘧磺隆雜草,且對許多闊葉及莎草科雜草與稗草等具有殘留活性,為目前稻田用除草劑中殺草譜最廣的品種.
稻杰
?(Penoxsulam 五氟磺草胺)是陶氏益農公司最新研究開發的稻田除草劑,可廣泛應用于水稻田防除主要稻田雜草,包括多種亞種的稗草,闊葉雜草和莎草科雜草。多年的試驗示范證明,稻杰對水田惡性雜草稗草防效尤為突出。
作物 | 水稻直播田 | 水稻秧田(東北、西北除外) |
防除對象 | 稗草(包括稻稗)、異型莎草、鯉腸、鴨舌草、雨久花、狼巴草、日照飄拂草、野慈菇等。 | 稗草、異型莎草、鯉腸、鴨舌草、雨久花、狼巴草、日照飄拂草、野慈菇、節節菜、陌上菜、藜、莧、小薊等。 |
施藥時期 | 稗草2-3葉期 | 稗草1.5-2.5葉期 |
用藥方法 | 莖葉噴霧 毒土/肥法 | 莖葉噴霧 |
制劑用藥量 | 40-80(毫升/畝) 60-100(毫升/畝) | 33-46(毫升/畝) |
有效成分用量 | 15-30(克/公頃) 22.5-37.5(克/公頃) | 12.5-17.5(克/公頃) |
備注:(1) 莖葉噴霧時,用水量20-30升/畝;(2) 用藥前排干水,用藥后24小時灌水,保水5-7天,水層深度保持3-5厘米;(3) 施藥量按稗草密度和葉齡確定,一般1-3葉期稗草,每畝用40-60毫升,3-5葉期,每畝用60-80毫升;稗草密度大,使用上限用藥量,稗草葉齡超過5葉,應適當增加藥量.
劑型:2.5%五氟磺草胺油懸浮劑
2.5%五氟磺草胺、油懸浮劑系一種新型水田除草劑。
一、藥劑特性
1、殺草譜很廣。
2.5%五氟磺草胺對水田多數主要雜草如稗草、一年生莎草和許多闊葉草等有防除效果,但對千金子無效。
2、除草效果好。
2.5%五氟磺草胺防治多種水田雜草有效,對稗草的藥效尤為突出,對大齡稗有極佳防效。2.5%五氟磺草胺對多種亞種的稗草效果好,包括對二氯喹啉酸、敵稗或乙酰輔酶A羧化酶抑制劑產生抗性的稗草。2.5%五氟磺草胺對許多磺酰脲類產生抗性的雜草也有較好的防效。
3、安全性好。
2.5%五氟磺草胺對秈稻和粳稻安全,可安全用于一葉期到收獲前。2.5%五氟磺草胺在土壤中的殘留較短(通過微生物降解),一般不影響后茬作物。但應避免在制種田使用。
4、劑型先進,吸收迅速,耐雨水沖刷,持效期較長。
二、使用技術
水稻直播田、水稻秧田都有效
水稻直播田防除對象
稗草,異型莎草,鯉腸,鴨舌草,雨久花,狼巴草,日照飄拂草,野慈菇、節節菜、陌上菜、藜、莧、小薊等。
用藥時期
稗草2~3葉期( 水稻直播田) 稗草1.5~2.5葉期(秧田)
用藥方法
莖葉噴霧 毒土/肥法 莖葉噴霧
制劑用藥量
40~80毫升/畝 60~100毫升/畝 33~46毫升/畝
實施操作:
(1)莖葉噴霧時,用水量20~30升/畝。
(2)用藥前排干水,用藥后24小時灌水,保水5~7天水層深度保持3~5厘米。
(3)施藥量按稗草密度和葉齡確定,一般1~3葉期稗草,每畝用40~60毫升;3~5葉期稗草,每畝用60~80毫升;稗草密度大,使用上限用藥量;稗草葉齡超過5葉,應適當增加藥量。
適用于各種栽培方式的稻田作苗后莖葉噴霧或毒土處理,在田間大多數雜草1-4葉期使用效果最佳,持效期可達30-60天。
直播稻田在稗草2-3葉期,每畝用2.5%乳油40-80毫升加水20-30公斤噴霧;或者每畝用2.5%乳油60-100毫升拌毒土或肥料撒施。水稻秧田在稗草1.5-2.5葉期,每畝用2.5%乳油33-46毫升加水20-30公斤噴霧。
用藥前排干田水,用藥后24小時灌水,保水5-7天。施藥量視稗草密度和葉齡而定,一般稗草1-3葉期每畝用40-60毫升,3-5葉期每畝用60-80毫升,田間雜草密度大時取用藥量的上限,5葉期以后適當增加用藥量。
三、作用機理和雜草藥害癥狀
作用機理:
通過雜草的葉片、莖和根吸收,通過木質部和韌皮部傳導到分生組織而發生作用。對水稻安全是因為活性成分在水稻體內降解迅速。
雜草經處理過后很快停止生長,此時雜草對作物生長的競爭即降低到極小。雜草徹底死亡的速度較慢。雜草死亡的速度與雜草體內的支鏈氨基酸的積蓄量有關。因此,幼小雜草體內支鏈氨基酸儲量小,常常死亡較快;相反,植株和草齡較大的雜草死亡慢。不利環境條件會減慢藥效速度。截至目前的研究結果表明,稻杰在大多數雜草1~4葉時使用藥效最佳。
雜草藥害癥狀:
經過苗后處理過的敏感雜草會表現出以下中毒癥狀:很快停止生長;
用藥后2~4天,雜草生長點褪色,有時葉脈變紅;用藥后7~14天莖尖和葉芽開始枯萎壞死;用藥后2~4星期雜草死亡。
未萌發的雜草一般出苗前死亡或出苗后緩慢生長到1~2葉期死亡。
6%五氟磺草胺·氰氟草酯油懸浮劑復配劑對水稻直播田雜草的控制效果和應用安全性。結果表明,五氟磺草胺?氰氟草酯對直播稻田的禾本科雜草、闊葉雜草和莎草均具有較好的防除效果,有效成分用量90~180g/hm. 的綜合防效可達95%以上,顯著優于對照藥劑氰氟草酯,與五氟磺草胺、五氟磺草胺+氰氟草酯、丙草胺+芐嘧磺隆的防效相當。五氟磺草胺?氰氟草酯顯著降低了稗、鴨舌草種群對田間N、P、K養分的吸收,保持了土壤肥力。五氟磺草胺?氰氟草酯有效成分用量90~120g/hm. 苗后莖葉處理對水稻安全,對后茬小麥、油萊、甘籃、蔥、大蒜等作物無不良影響。
生產方法:以2-甲氧基乙酸甲酯為起始原料,與甲酸甲酯、甲醇鈉反應,得到3-羥基-2-甲氧基丙烯酸甲酯的鈉鹽,再與甲基異硫脲反應得2,5-二甲氧基-4-羥基嘧啶,接著用三氯氧磷氯化得4-氯-2,5-二甲氧基嘧啶,隨后與水合肼反應得2,5-二甲氧基-4-肼基嘧啶,用溴化氰環合得到3-氨基-5,8-二甲氧基【1,2,4】三唑并【4,3-c】嘧啶,再與甲醇鈉反應得到中間體2-氨基-5,8-二甲氧基[1,2,4]-三唑并[1,5-c]-嘧啶,與2-氟-6-三氟甲基苯磺酰氯反應,得到中間體2-氟-6-三氟甲基-N-(5,8-二甲氧基-【1,2,4】三唑并[1,5-c]嘧啶-2-基)苯磺酰胺,再與2,2-二氟乙醇縮合即得到五氟磺草胺。中間體2-氟-6-三氟甲基苯磺酰氯的合成是以2-氟-6-三氟甲基苯胺為起始原料,將其與亞硝酸鈉、氯化亞銅及二氧化硫反應得到。